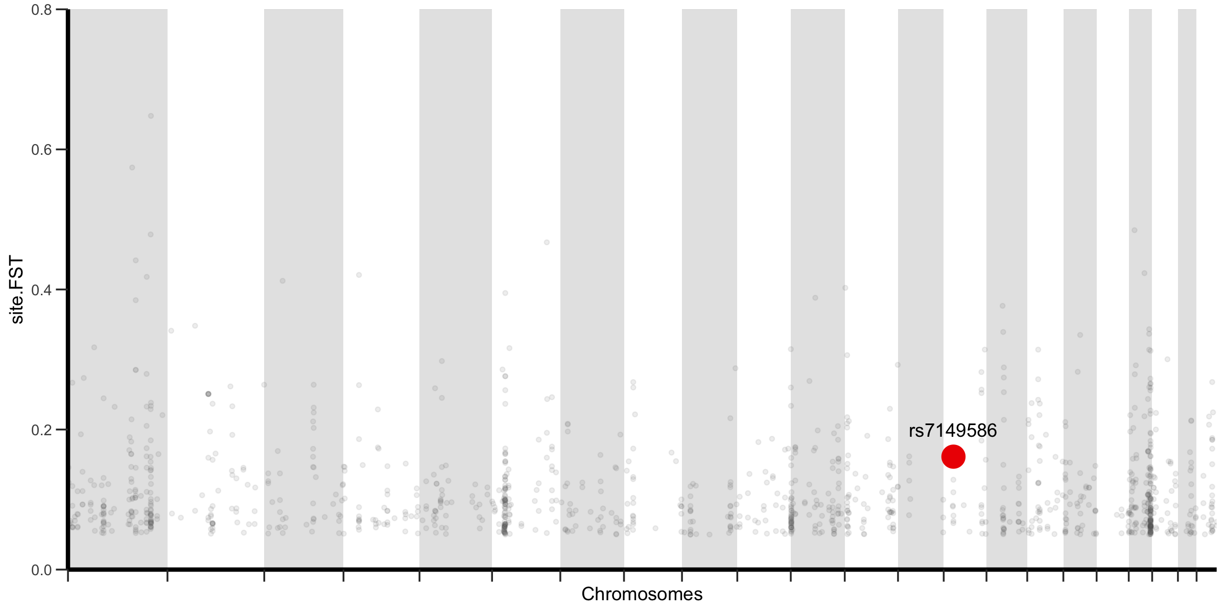
| SNP ID: | rs7149586 |
| Class: | Organismal Systems; Immune system |
| Pathway: | C-type lectin receptor signaling pathway |
| Gene: | NFATC4 |
| Ensembl ID: | ENSG00000100968 |
| CHROM: | chr14 |
| POS: | 24376635 |
|
AFR_MAF: 0.22 AMR_MAF: 0.45 EAS_MAF: 0.15 EUR_MAF: 0.35 SAS_MAF: 0.38 |
