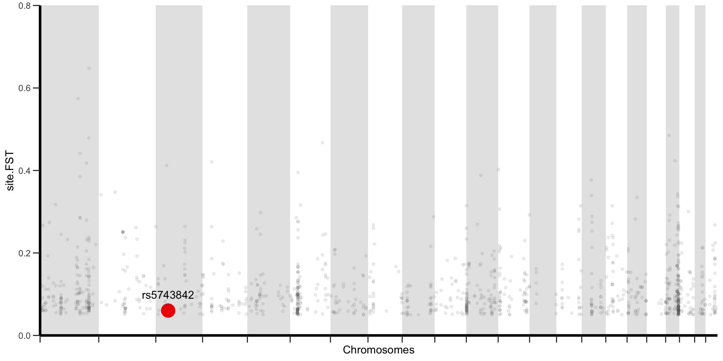
| SNP ID: | rs5743842 |
| Class: | Organismal Systems; Immune system |
| Pathway: | Toll-like receptor signaling pathway |
| Gene: | TLR9 |
| Ensembl ID: | ENSG00000239732 |
| CHROM: | chr3 |
| POS: | 52224303 |
|
AFR_MAF: 0.07 AMR_MAF: 0.01 EAS_MAF: 0 EUR_MAF: 0 SAS_MAF: 0 |
