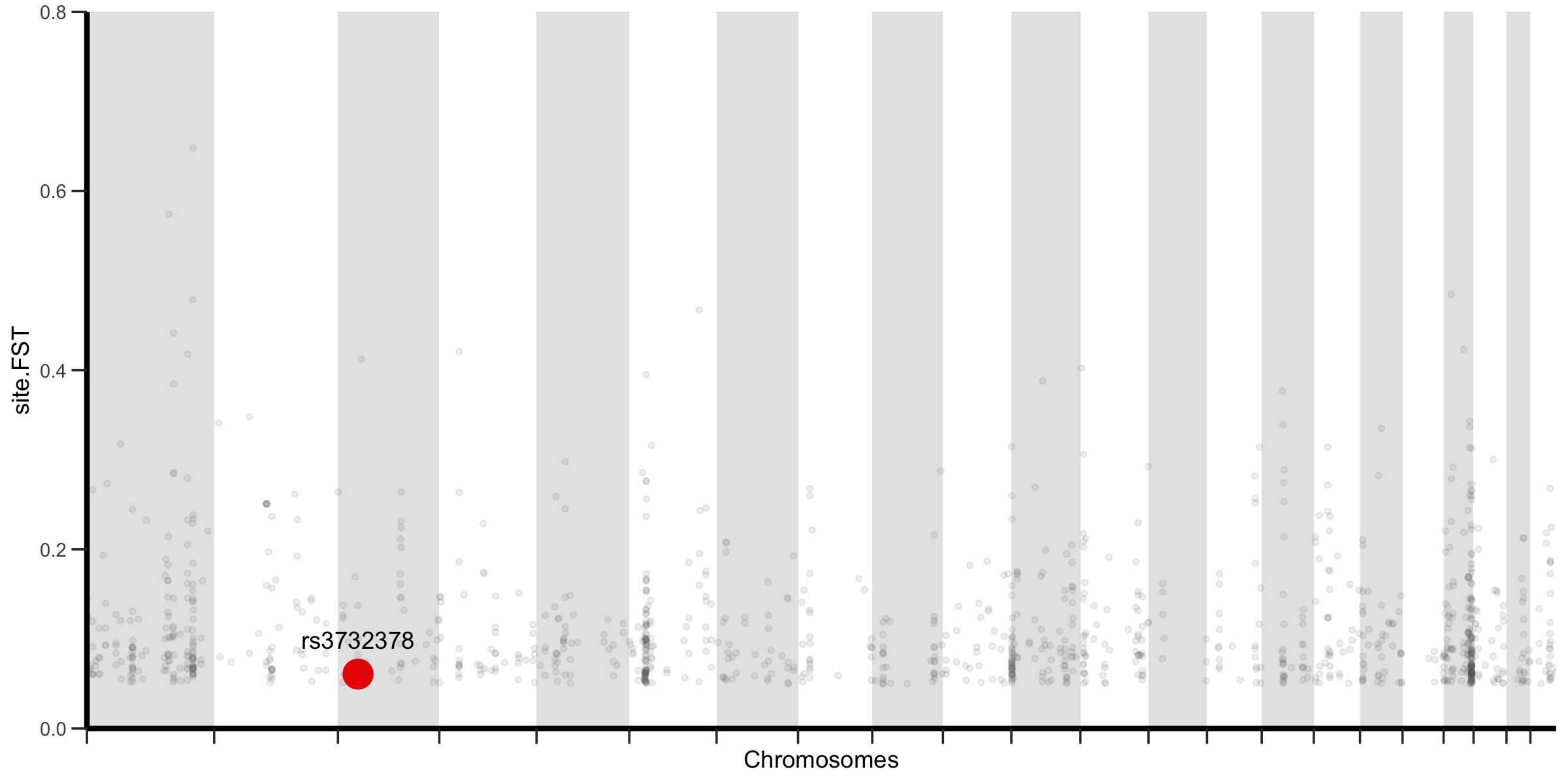
| SNP ID: | rs3732378 |
| Class: | Organismal Systems; Immune system |
| Pathway: | Chemokine signaling pathway |
| Gene: | CX3CR1 |
| Ensembl ID: | ENSG00000168329 |
| CHROM: | chr3 |
| POS: | 39265671 |
|
AFR_MAF: 0.01 AMR_MAF: 0.16 EAS_MAF: 0.03 EUR_MAF: 0.17 SAS_MAF: 0.11 |
