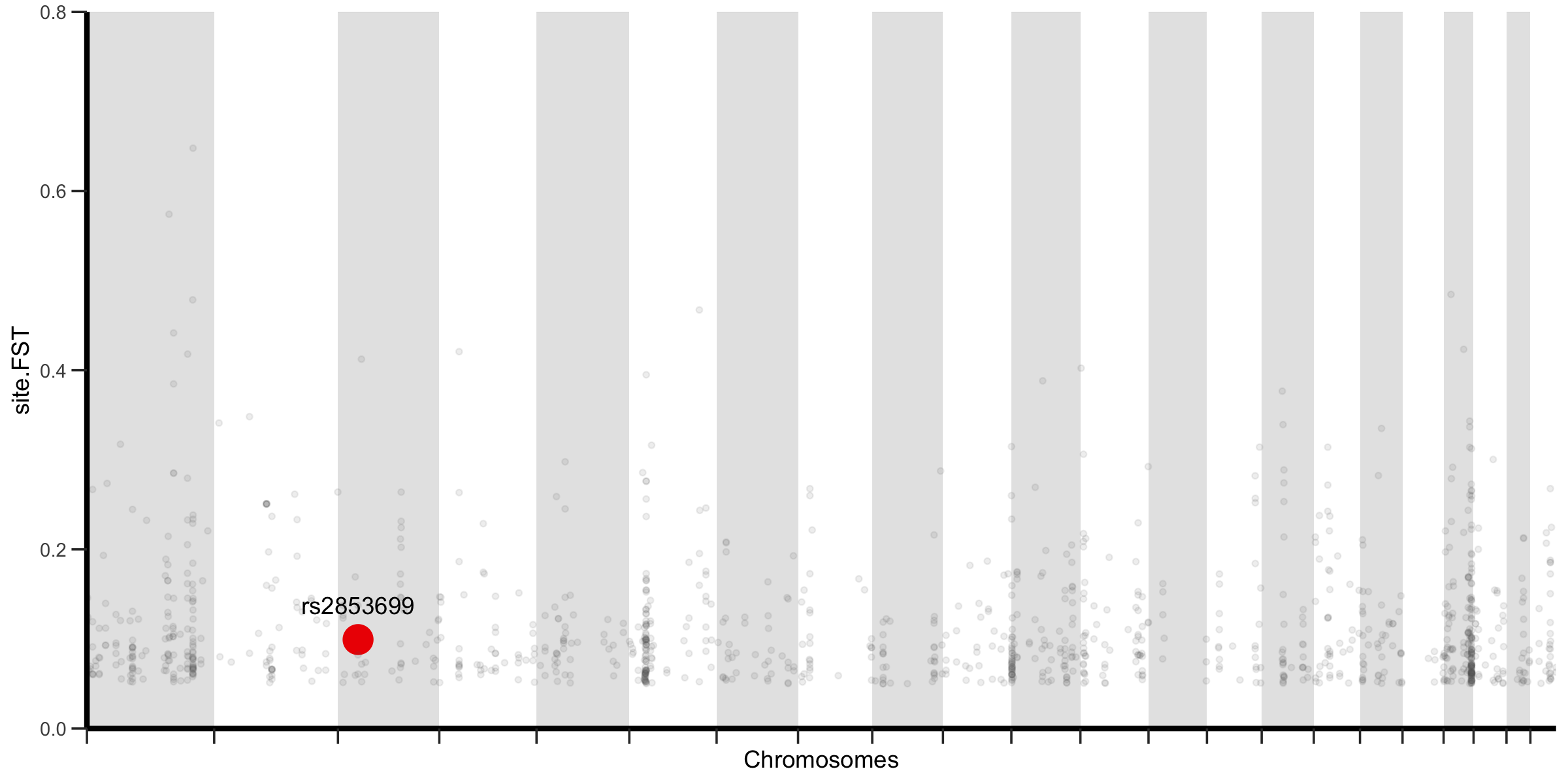
| SNP ID: | rs2853699 |
| Class: | Organismal Systems; Immune system |
| Pathway: | Chemokine signaling pathway |
| Gene: | CCR8 |
| Ensembl ID: | ENSG00000179934 |
| CHROM: | chr3 |
| POS: | 39332411 |
|
AFR_MAF: 0.1 AMR_MAF: 0.16 EAS_MAF: 0 EUR_MAF: 0.3 SAS_MAF: 0.1 |
