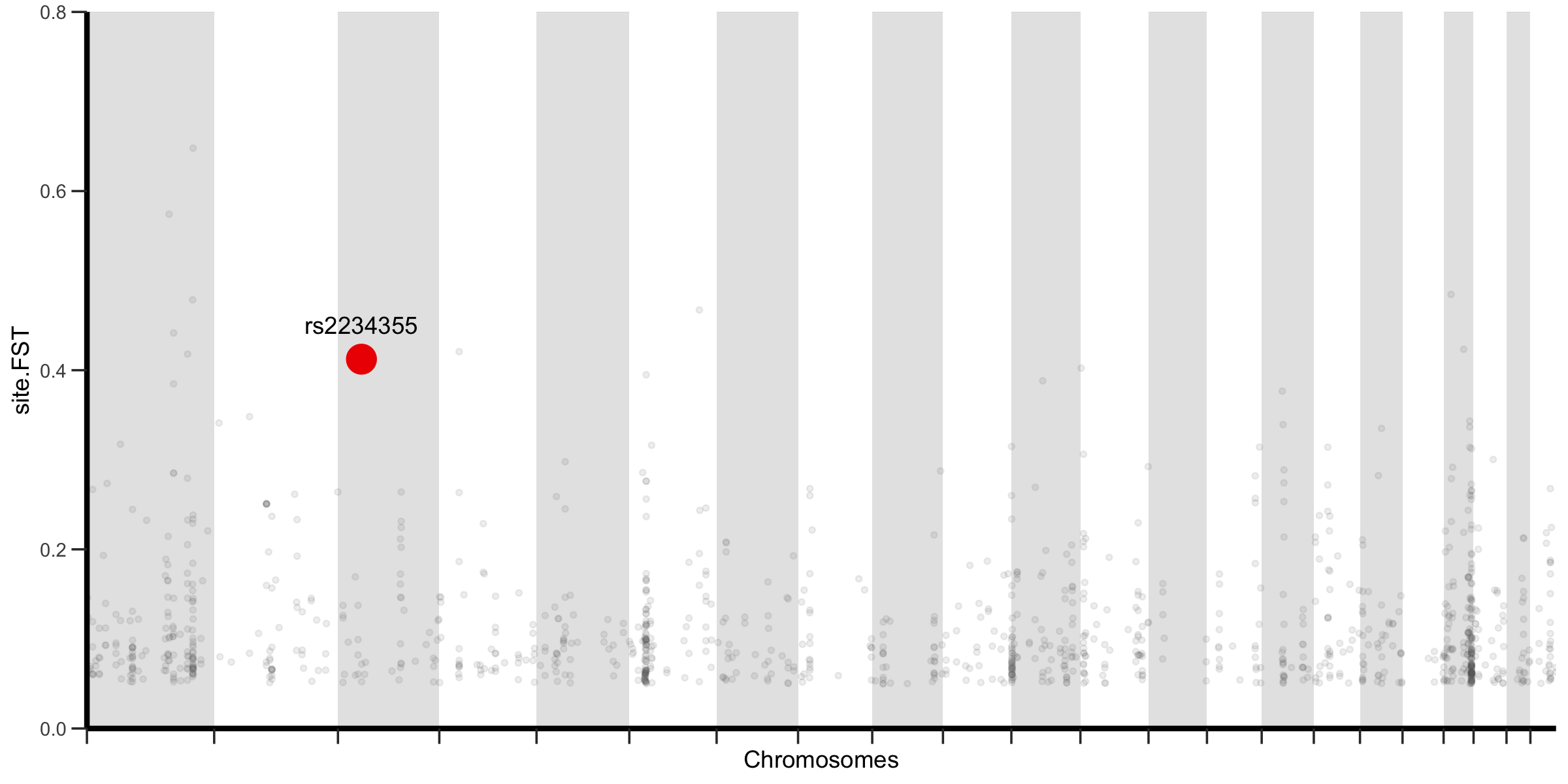
| SNP ID: | rs2234355 |
| Class: | Organismal Systems; Immune system |
| Pathway: | Chemokine signaling pathway |
| Gene: | CXCR6 |
| Ensembl ID: | ENSG00000172215 |
| CHROM: | chr3 |
| POS: | 45946488 |
|
AFR_MAF: 0.49 AMR_MAF: 0.07 EAS_MAF: 0 EUR_MAF: 0 SAS_MAF: 0 |
