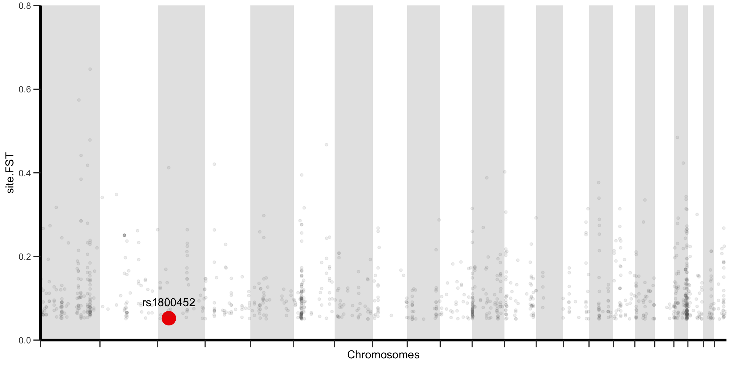
| SNP ID: | rs1800452 |
| Class: | Organismal Systems; Immune system |
| Pathway: | Chemokine signaling pathway |
| Gene: | CCR5 |
| Ensembl ID: | ENSG00000160791 |
| CHROM: | chr3 |
| POS: | 46373570 |
|
AFR_MAF: 0 AMR_MAF: 0 EAS_MAF: 0.06 EUR_MAF: 0 SAS_MAF: 0 |
